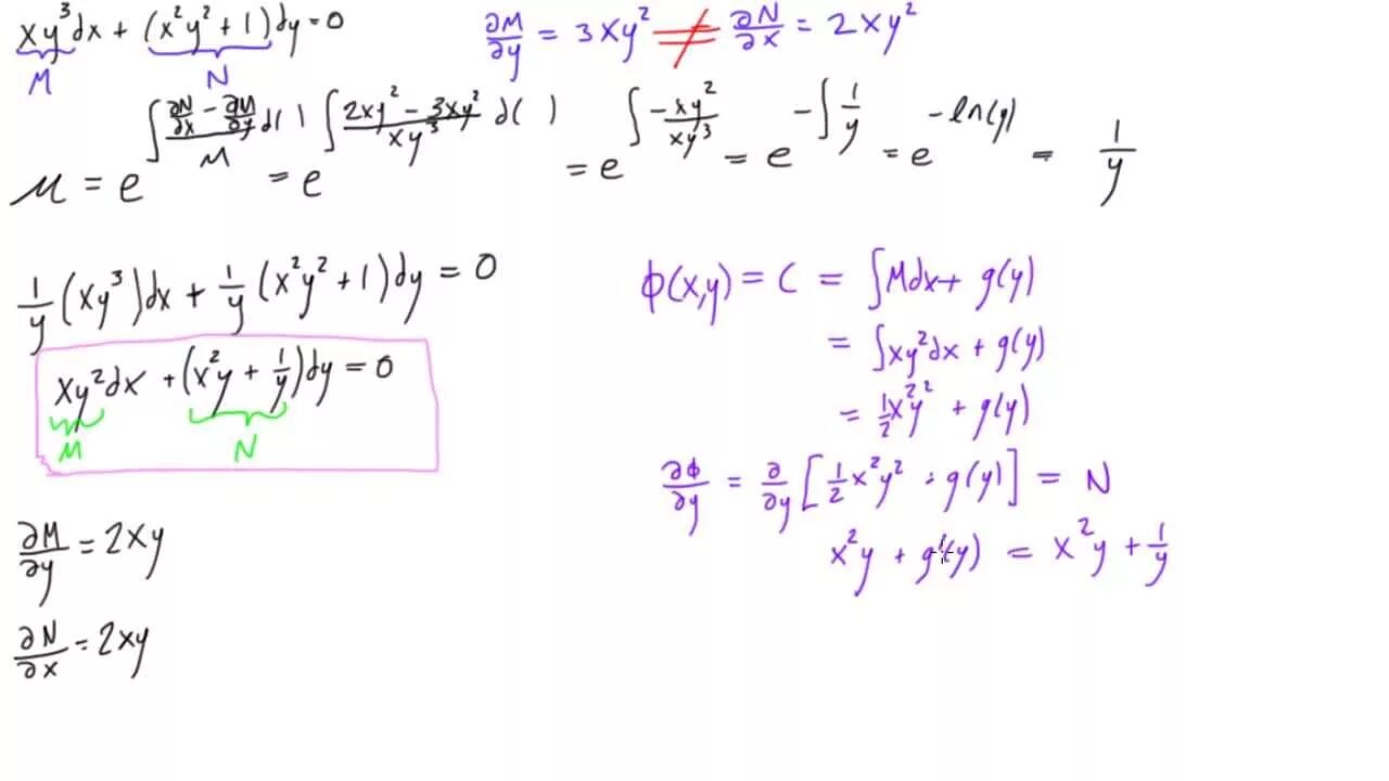
Integer factor