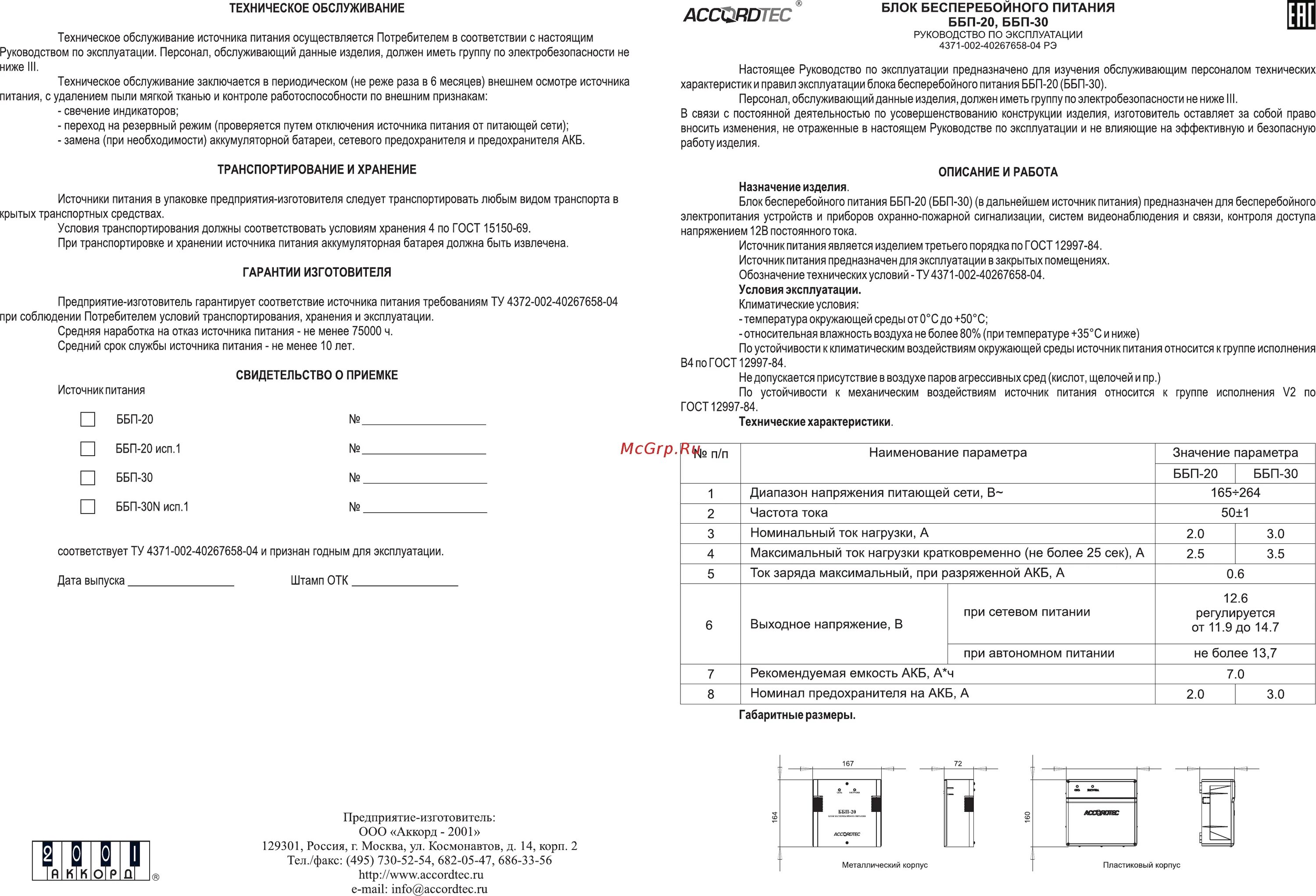
Инструкции бесперебойных блоков питания