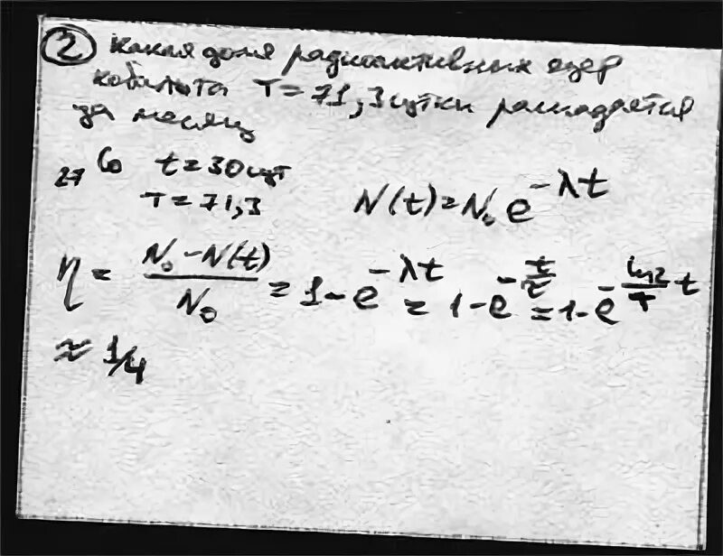
Имеется 4 г радиоактивного кобальта сколько