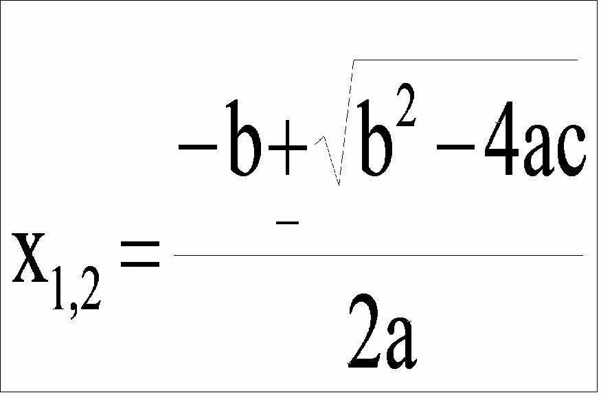
Икс 1 икс 2 дискриминант