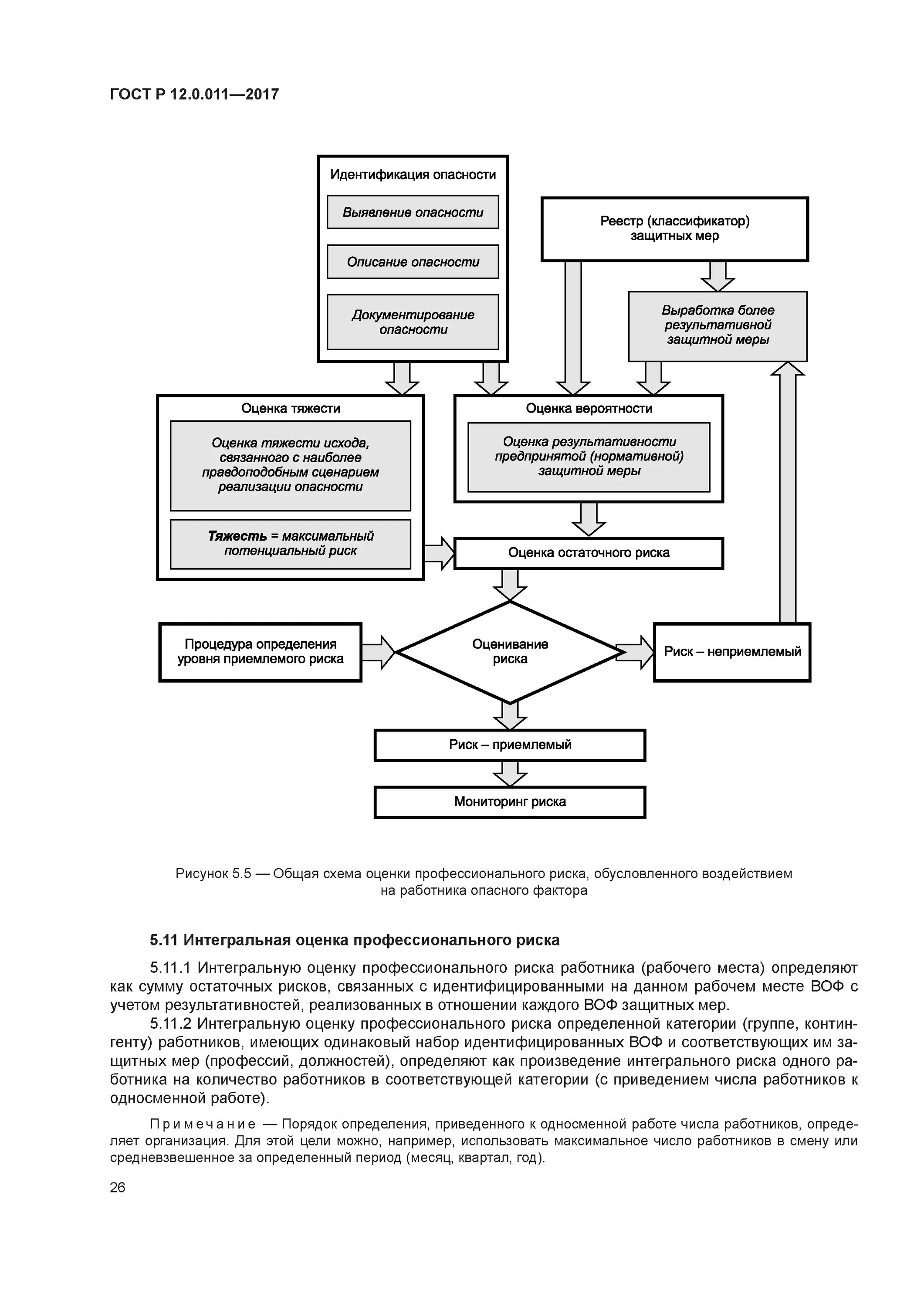
Идентификация и оценка риска работников