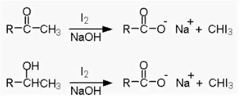
I2 и naoh при нагревании