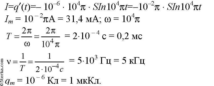
I q t найти q