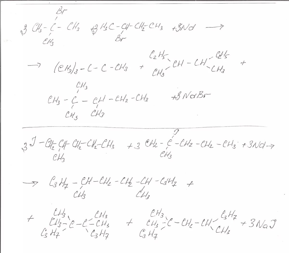
Хлорпропан пропанол реакция