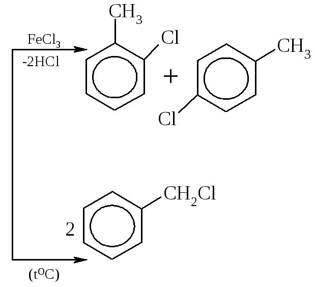
Хлорирование бензола тип реакции