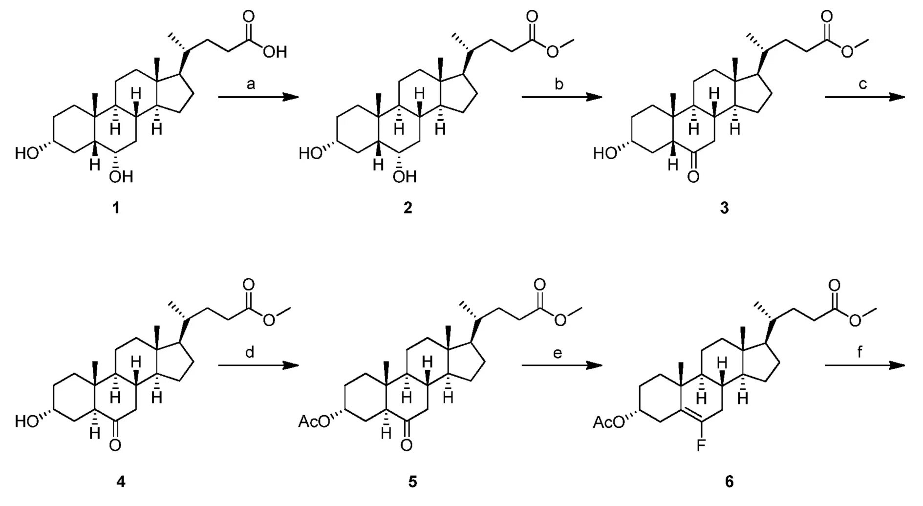
H2so4 реагенты