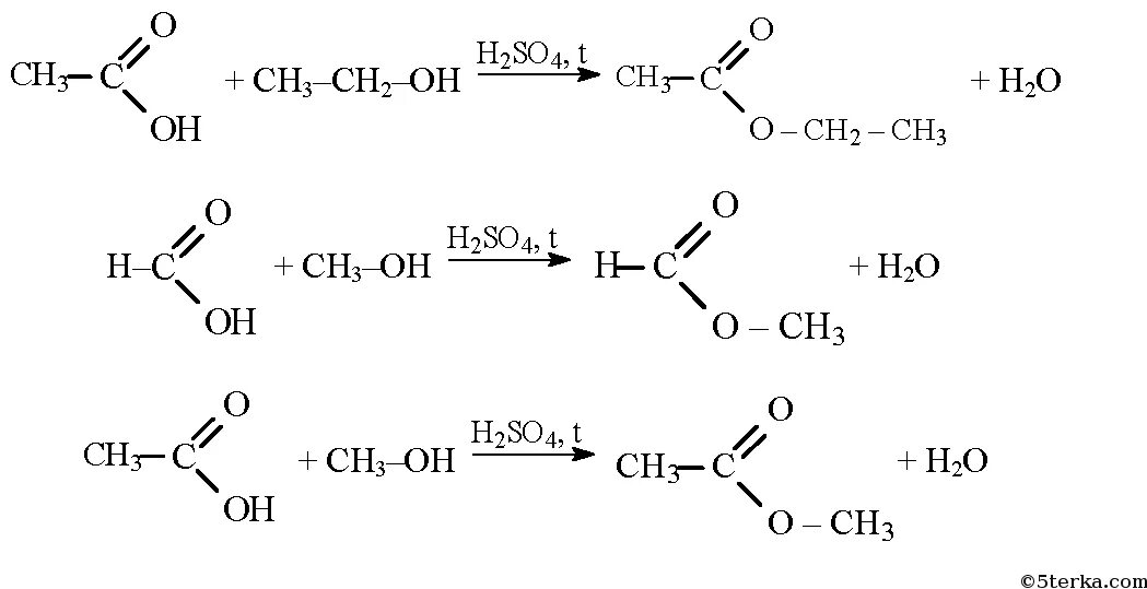
H2so4 fecl3 уравнение реакции