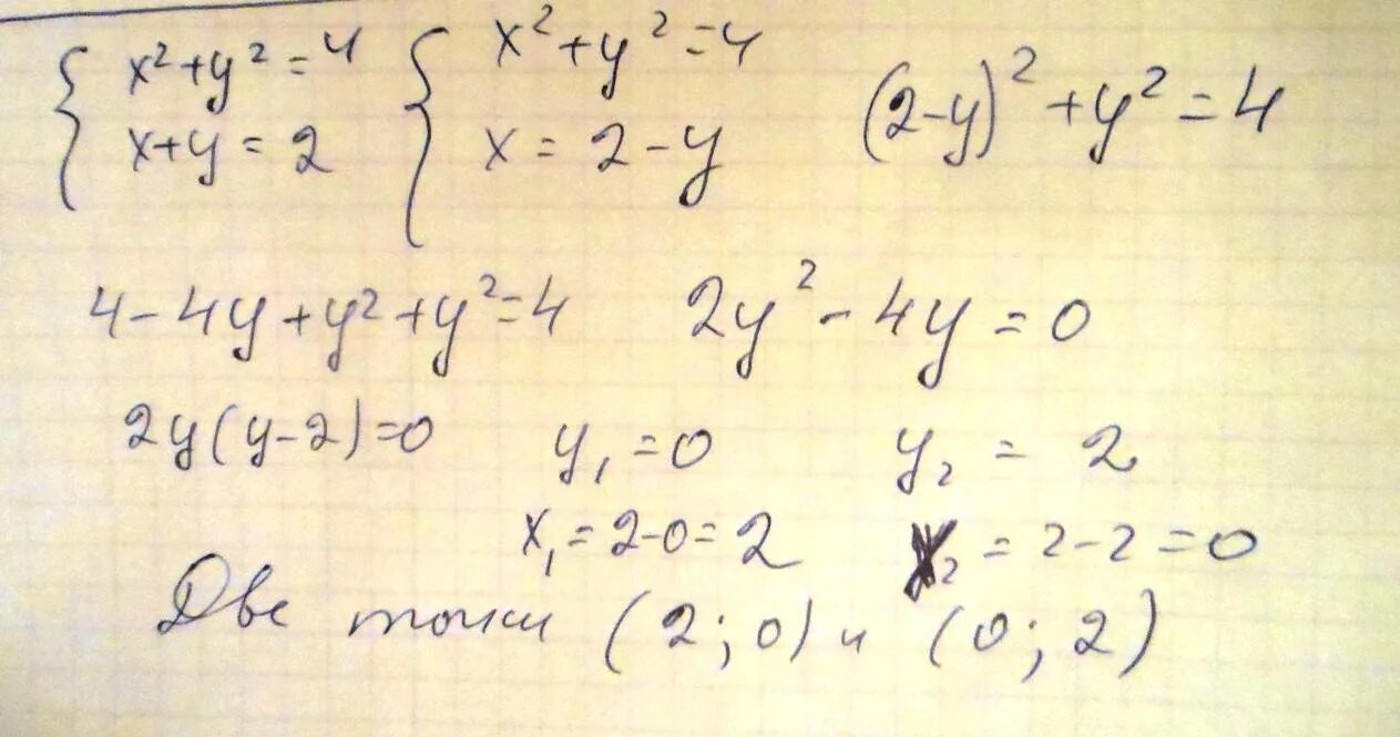
Х2 у2 х