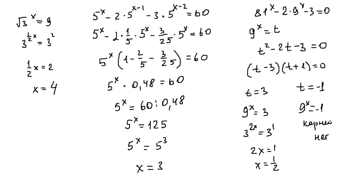
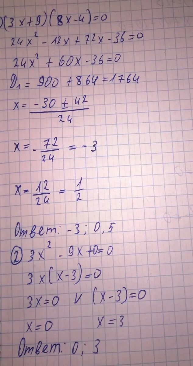
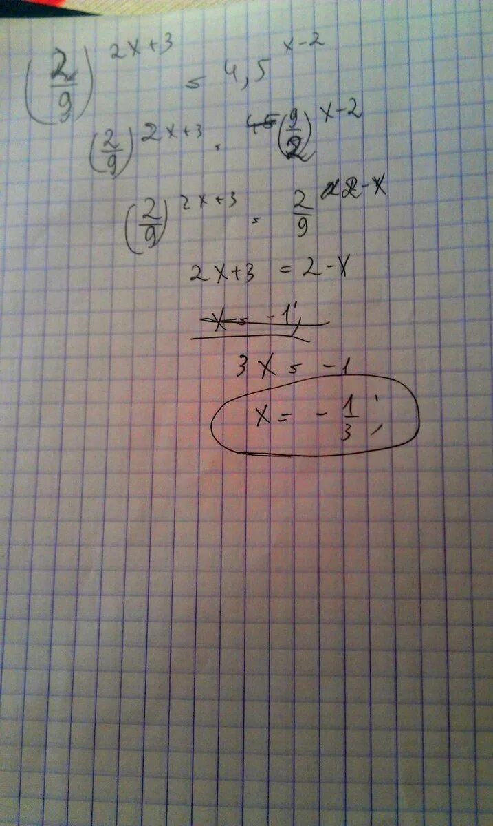
Х 9 2 степени