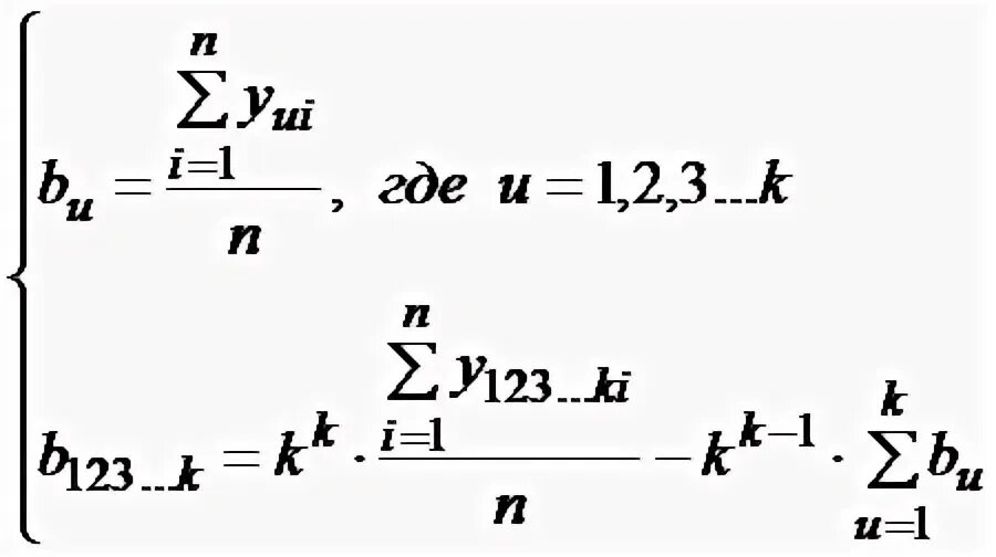
Грунты статистическая обработка результатов испытаний