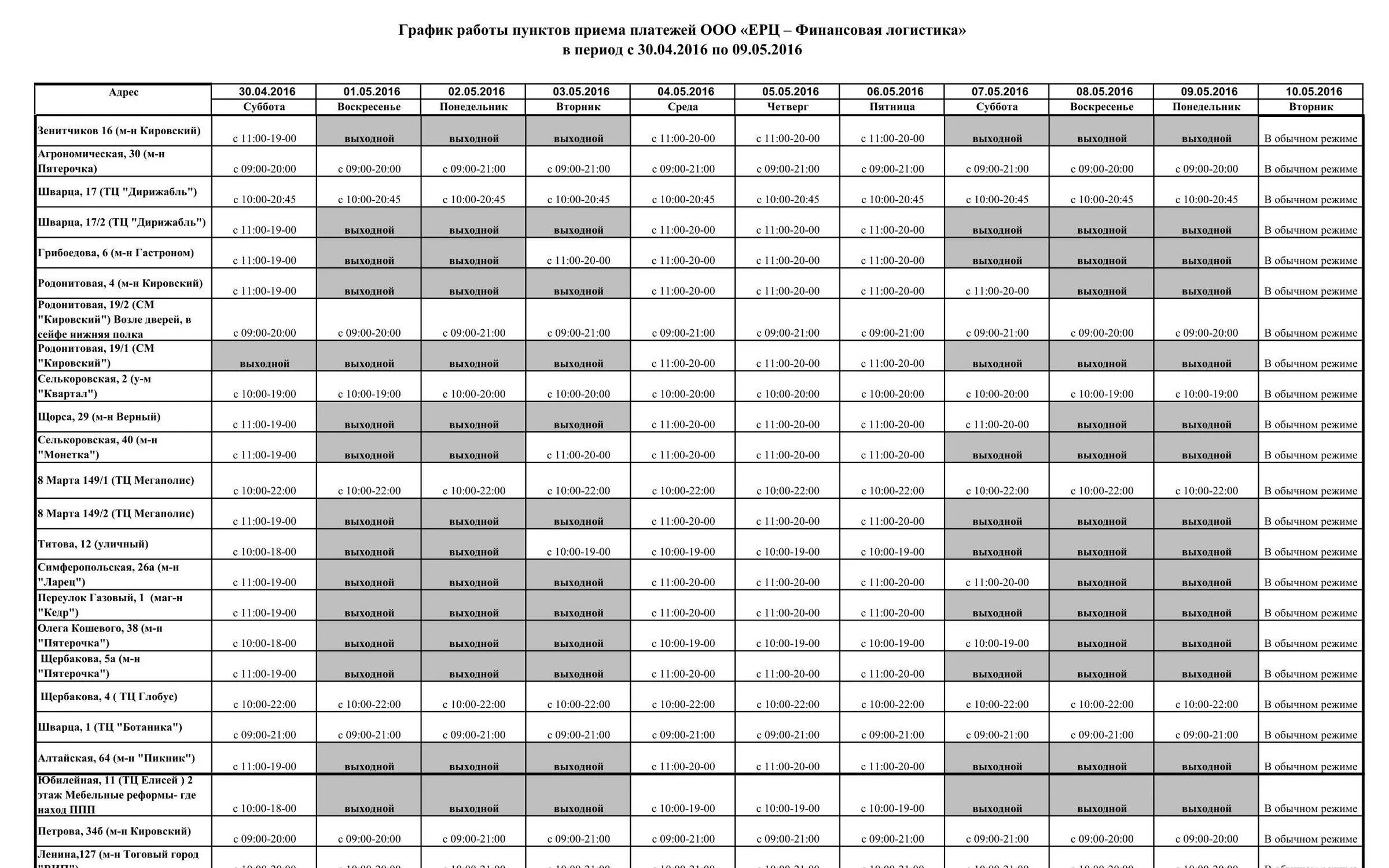
График работы фрисби в екатеринбурге