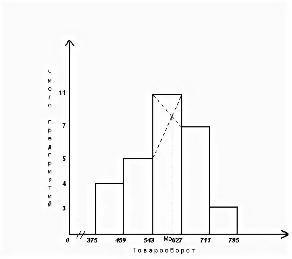
Графическое изображение статистических рядов