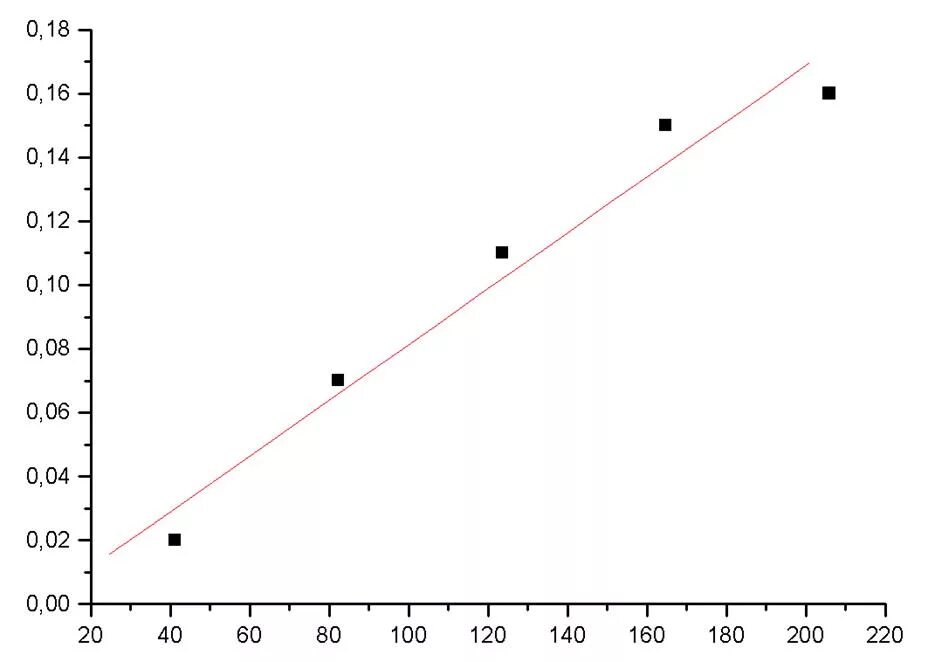
Градуировочный график определение