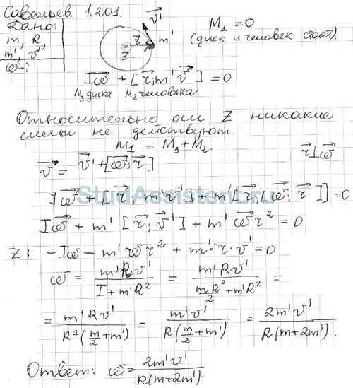
Горизонтально расположенный диск вращается вокруг вертикальной