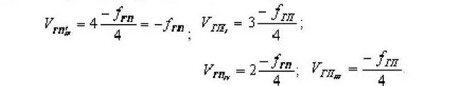
Горизонт прибора в геодезии