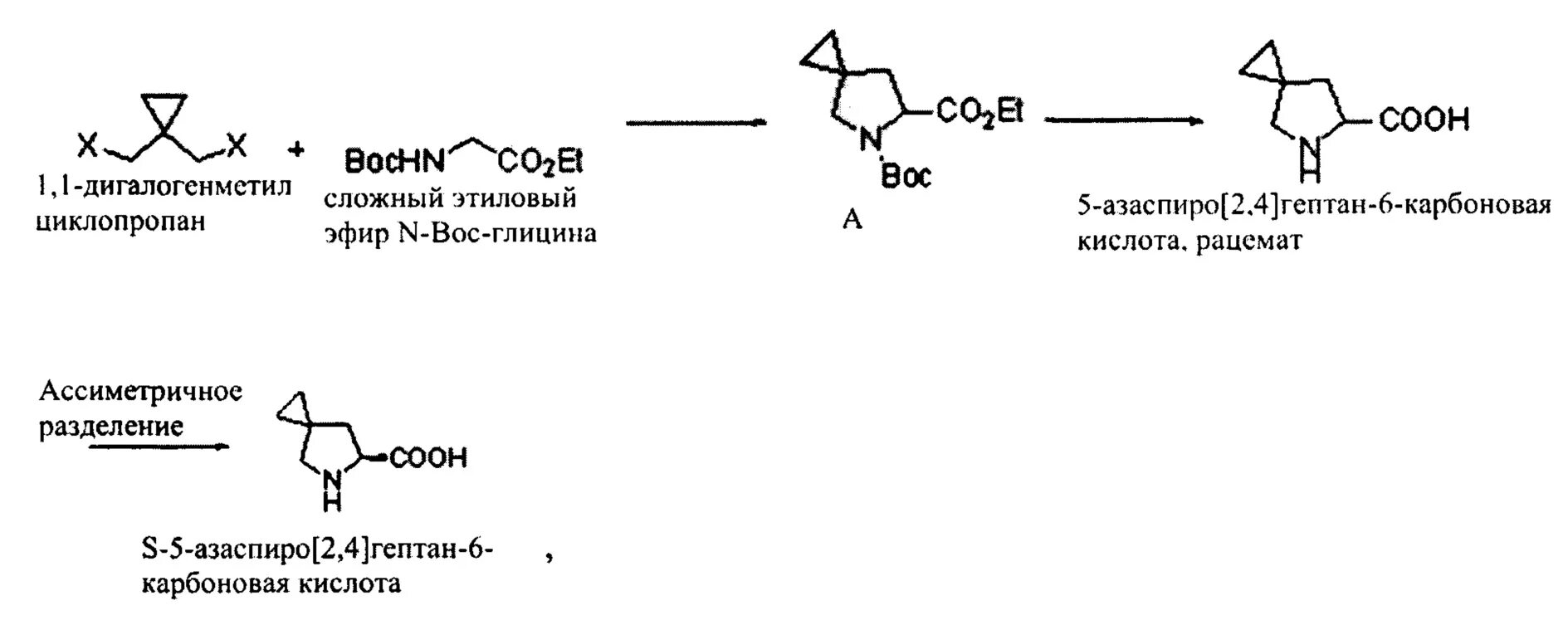
Глицин в щелочной среде