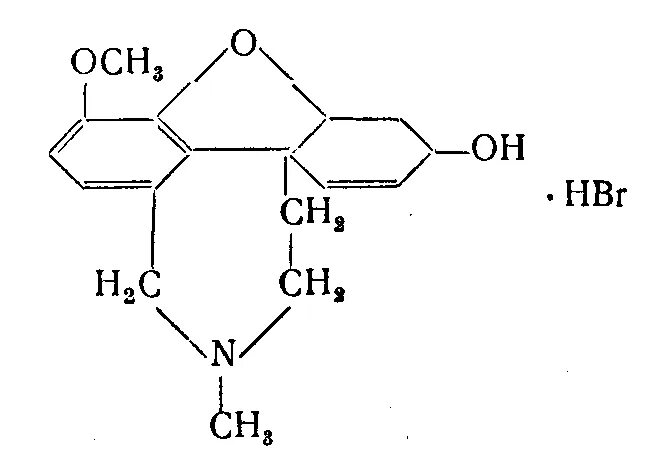
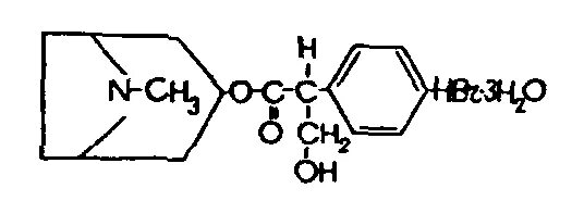
Гидробромид для чего