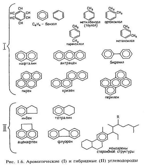
Гибридные углеводороды