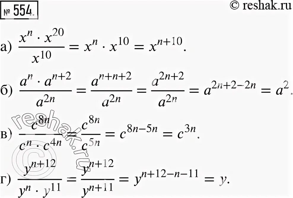
Геометрия 8 класс упр 554