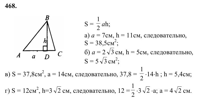
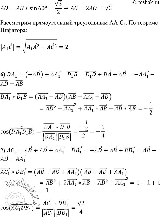
Геометрия 8 класс упр 462