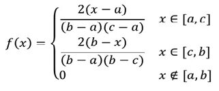
Функция треугольного закона распределения симпсона имеет вид