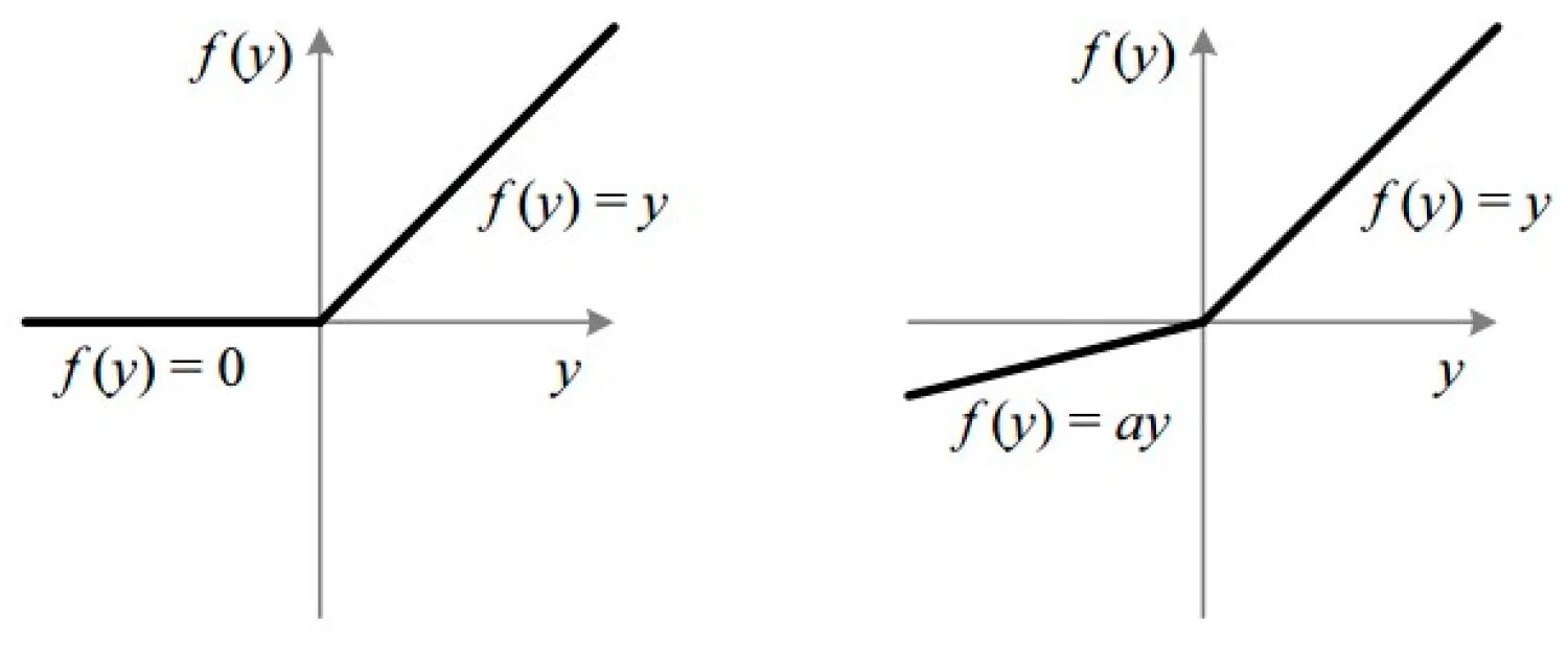
Функция релу