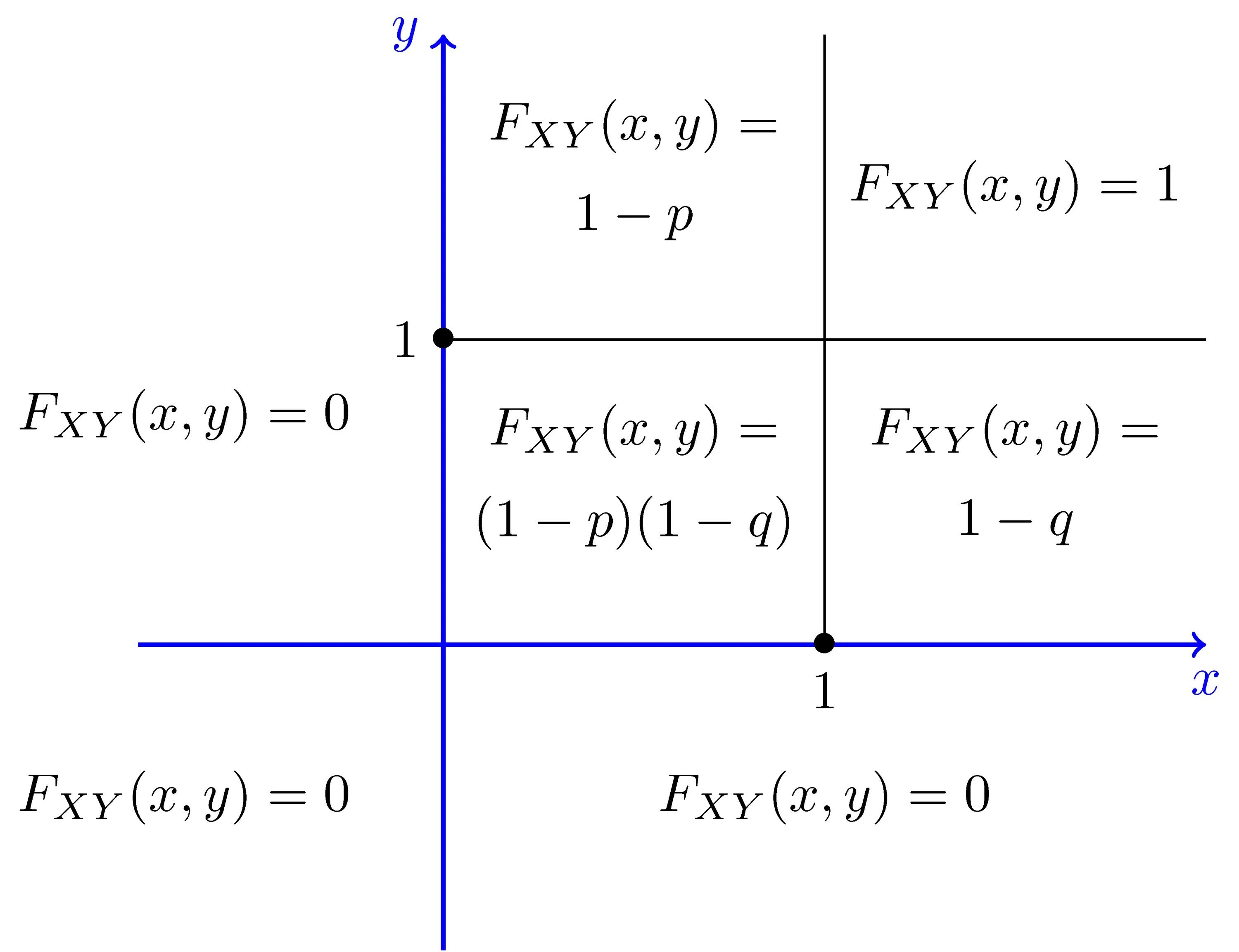
Функция распределения f x y