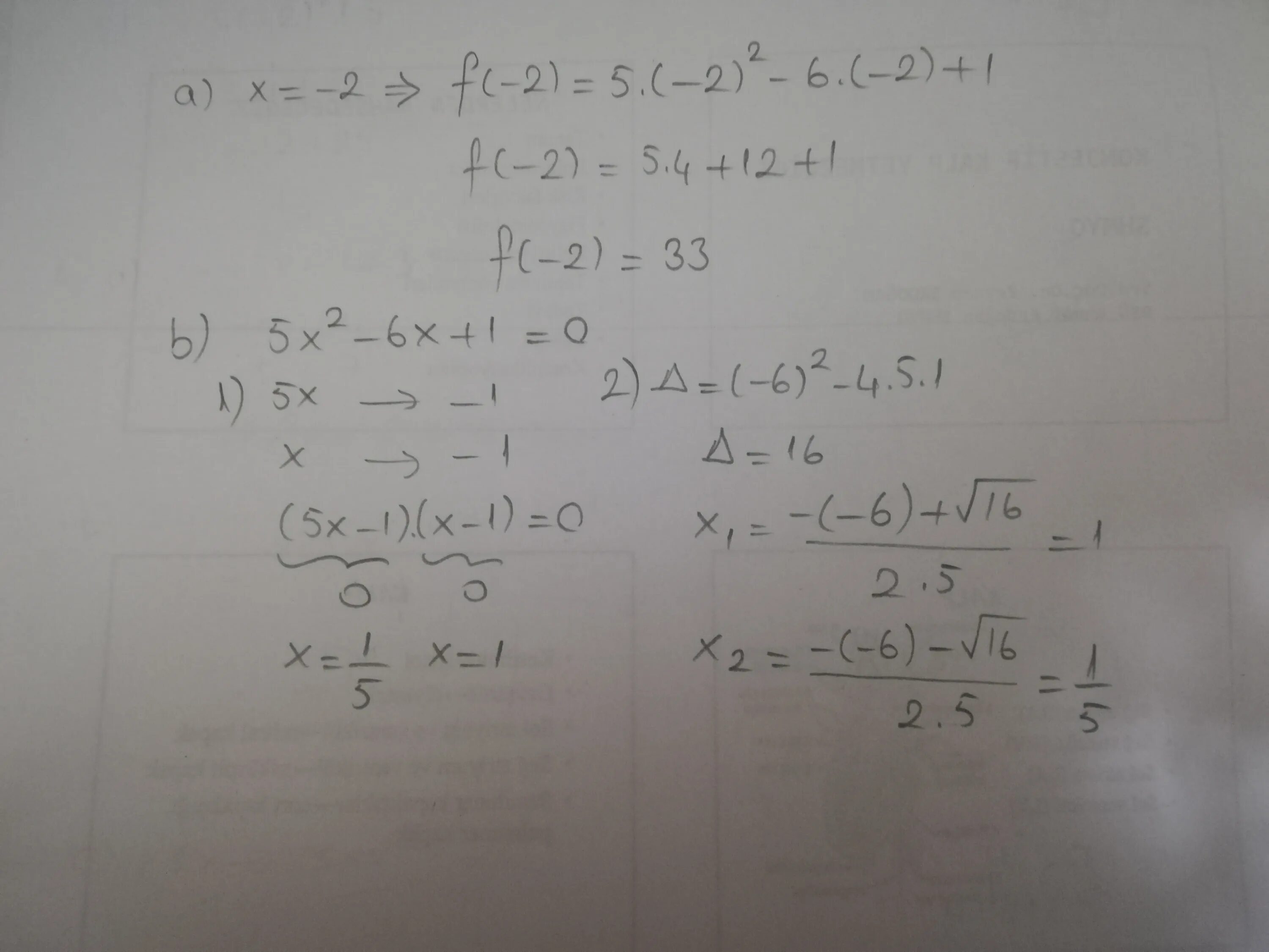
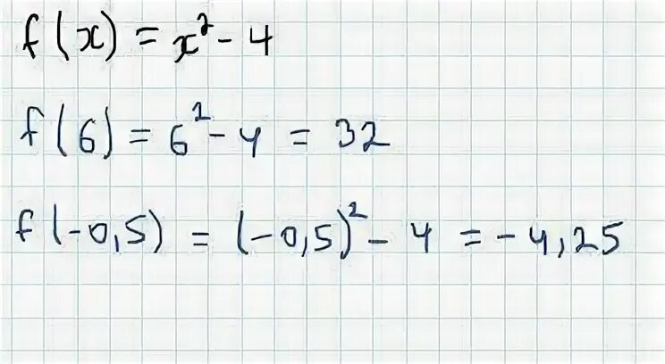
Функция формулы f x 1 2x2 3x