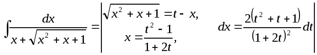
Функция эйлера формула