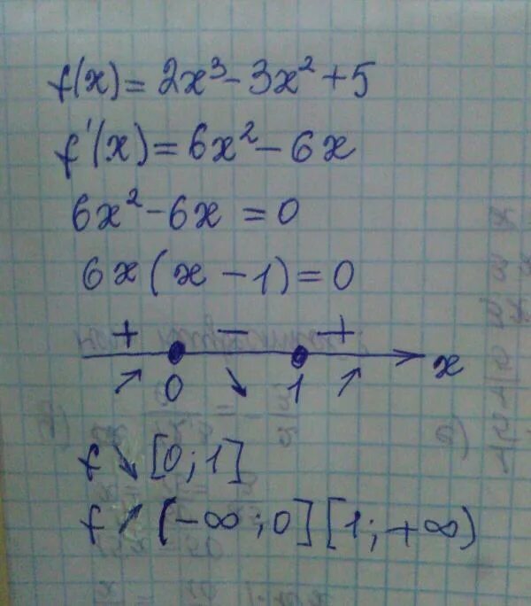
Функций f x 4x2 25x 41