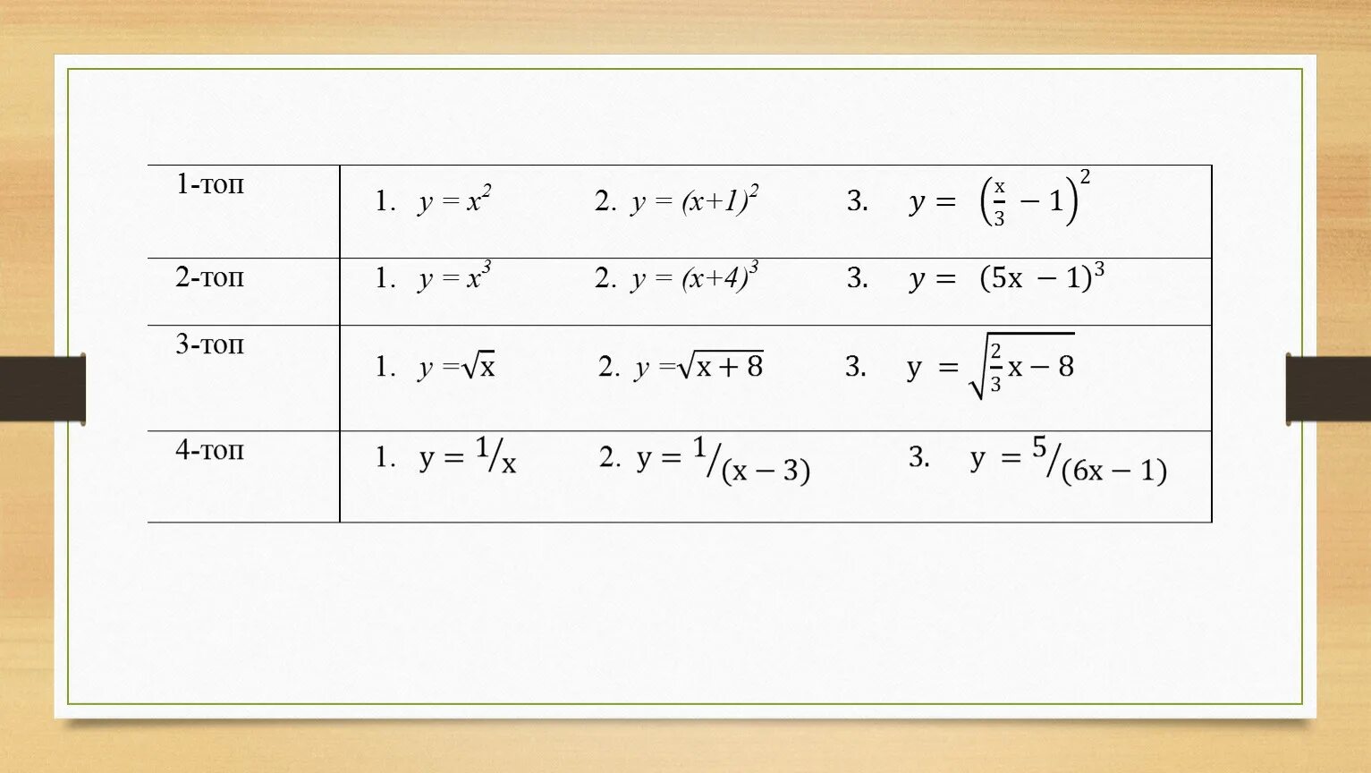
Функции табу