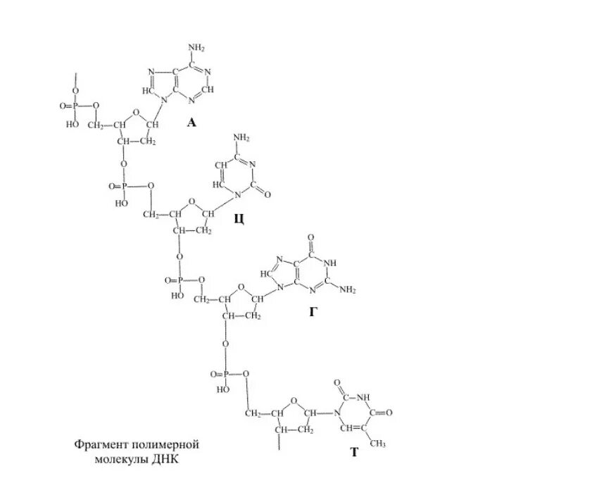
Фрагмент рнк