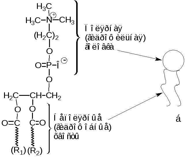
Фосфолипидов животных