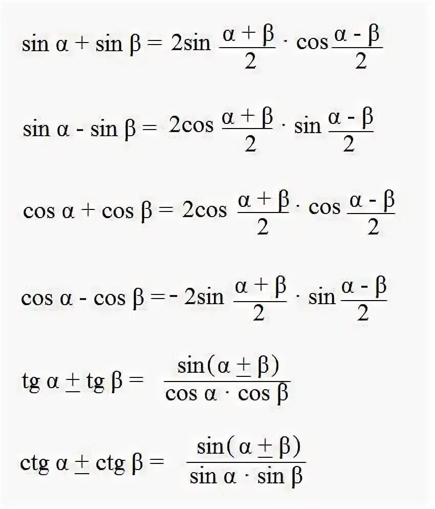
Формулы сложения тригонометрических функций