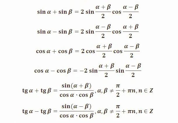
Формулы преобразования произведений функции