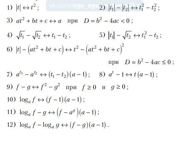
Формулы оптимизации