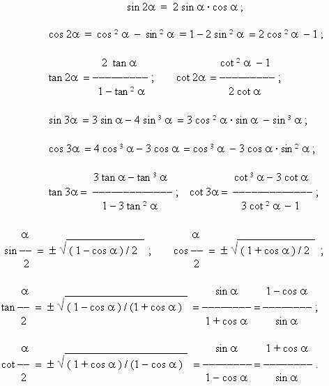
Формулы двойного тройного и половинного углов