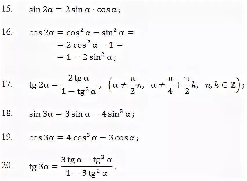
Формулы двойного аргумента и формулы понижения степени