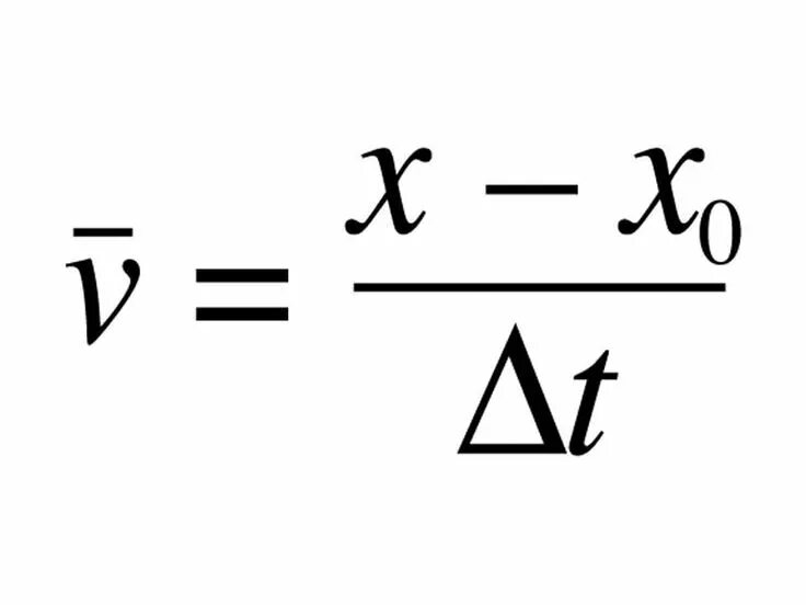
Формула v0x в физике