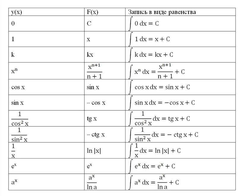
Формула первообразной функции