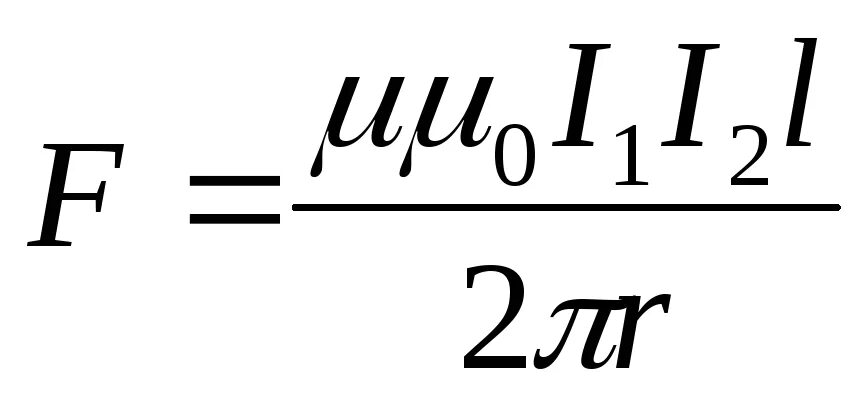
Формула параллельных токов