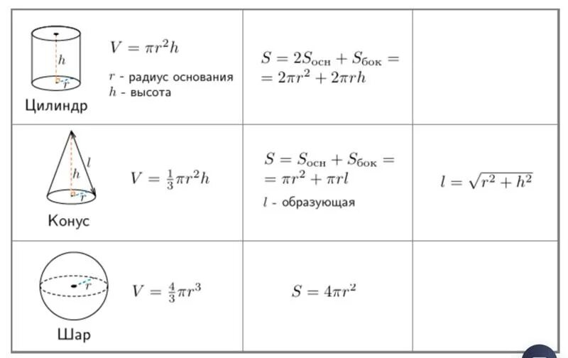
Формула объема шара и цилиндра