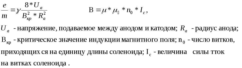
Формула напряжение генератора