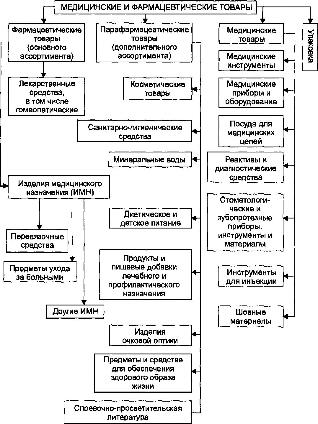
Формирование аптечного ассортимента