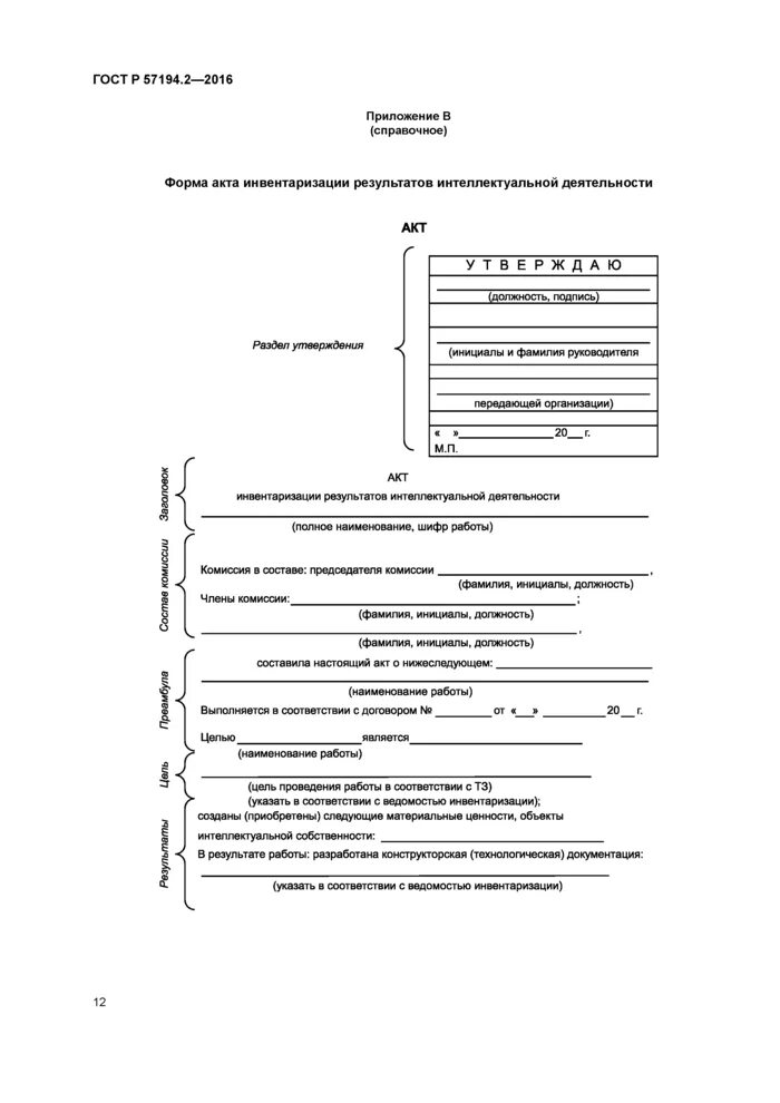
Форма 1 результатов интеллектуальной деятельности