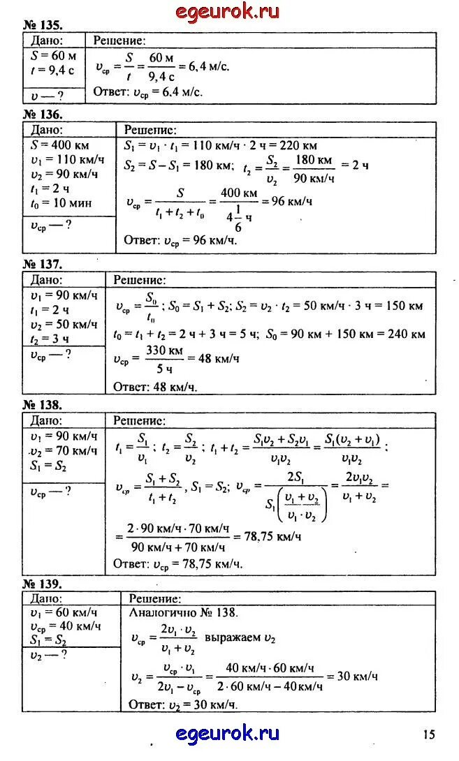
Физика 7 класс задачник ответы и решения