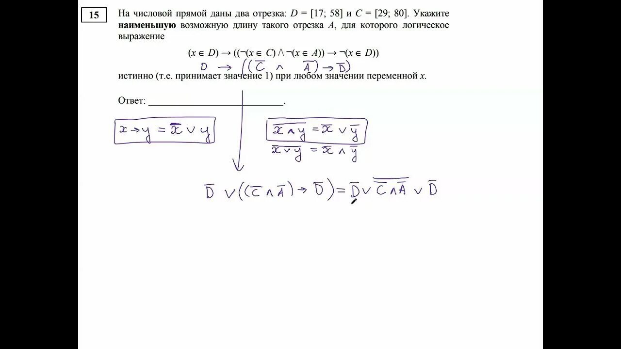
Фипи вариант 15 ответы