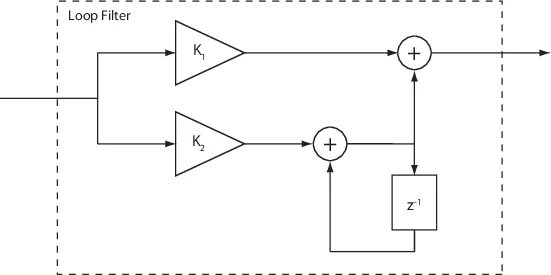
Filter loop