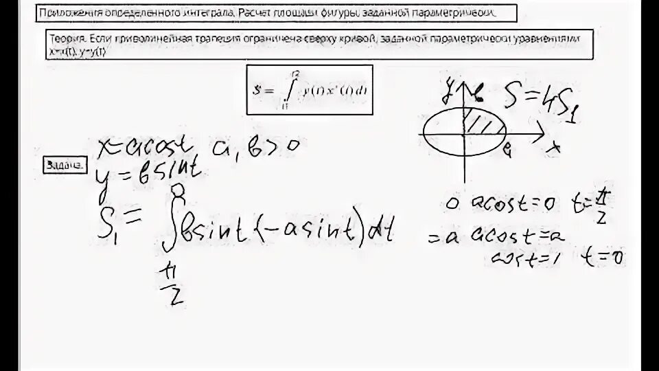
Фигуры заданные параметрически