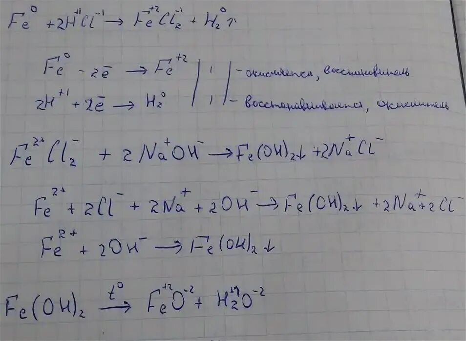
Fecl3 h2s fecl2 s